![]() |
空氣過濾器|高效過濾器專題 佰倫空氣過濾器已榮獲多項國家專利! |
服務熱線:181-0266-3890 |
評價任何空氣過濾器,最重要的性能指標有四項:
面速和濾速、效率、阻力、容塵量。
除此之外,還有其它一些特性指標,如重量、消耗動力和再生特性等。這些指標主要和濾料以及過濾器的結構有關。
一、面速和濾速
面速是指過濾器斷面上通過氣流的速度,以m/s表示。
式中:Q——風量(m3/h)
F——過濾器截面積即迎風面積(㎡)
面速反映過濾器的通過能力和安裝面積。采用過濾器的面速越大,安裝過濾器所需的面積越小。
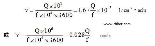
濾速是指濾料面積上的通過氣流的速度,以cm/s、L/㎝2·min表示。

式中:f——濾料凈面積(即去除粘結等占去的面積),m2。
濾速反映濾料的通過能力,特別是反映濾料的過濾性能。采用的濾速越低,一般說將獲得較高的效率。而過濾器允許的濾速越低,說明其濾料性能越差,阻力也大。
在特定的過濾器結構條件下,統一反映面速和濾速的是過濾器的額定風量。在相同的截面積下,希望允許的額定風量越大越好,而在低于額定風量下運行,效率越高,阻力越低。
二、效率
被過濾器除去的大氣塵含量與過濾器進口大氣塵含量比值的百分數稱為過濾器效率。表示效率的方法有計重效率、計數效率等。
1.用過濾器進出口氣流中的含塵濃度表示:
式中:G1、G2——過濾器進出口氣流中微粒的重量或數量(mg/h或粒/h)
N1、N2——過濾器進出口氣流中的含塵濃度(mg/m3或粒/h)
Q——通過過濾器的風量(m3/h或升/h)
這種表示方法對于計重效率和計數效率都可以采用。
2.用進入過濾器前氣流中的塵粒含量和過濾器捕集的塵粒量來表示。
G3——過濾器捕集到的塵粒重量(mg/h)
該方法僅在計重效率時采用,有些國家將由此方法求得的η稱為除塵率。
3.有過濾器所捕集到的塵粒數量和過濾器出口氣流中塵粒的含量來表示。
該方法也用于計重效率。
4.用各粒徑的分級效率表示
η=η1 n1+…+ηn nn
式中:η1…ηn——各粒徑的分級效率,以小數表示。
n1 …nn——各粒徑的微粒的含量占全體微粒的比例,以小數表示。
5.過濾器效率的其它檢測方法(《空氣調節》p220):
①比色法
②鈉焰法
③油霧法
④粒子計數法
三、穿透率
在很多情況下,人們關心的不只是過濾捕集多少塵粒,而是經過過濾器后仍然穿透過來多少塵粒。這時用穿透率(或穿透系數)這一概念更能直接的表示這種結果的程度。在排氣凈化中用穿透率代替過濾效率。
穿透率用K(%)表示:

例:現有兩個過濾器,其過濾效率分別為η1=0.9999,η2=0.9998,求其各自的穿透率。
K1=(1-η1)×100%=0.01% K2=(1-η2)×100%=0.02%
在上述結果中,兩個過濾器的過濾效率基本相等,兩者之間的差別已沒有實在意義。但換算成穿透率之后,則K2 比K1大一倍。也就是說第二個過濾器穿透過來的微粒比第一個過濾器多一倍。
四、凈化系數
凈化系數KC以穿透率的倒數表示
凈化系數表示經過濾器以后微粒降低的程度。K=0.01%時,KC=100/0.01=104
說明過濾器前后的微粒濃度相差一萬倍。
從以上內容可以看出穿透率和凈化系數同是效率的表現形式。
五、阻力
過濾器阻力由兩部分組成:一是濾料的阻力,二是過濾器結構的阻力。
Δp=Δp1+Δp2
=Av+Bun
v——濾速(cm/s)
u——面速(m/s)
空氣凈化系統的過濾器阻力在系統的總阻力損失中占有相當大的比例,對系統的能耗有重要影響。任何過濾器的阻力均隨容塵量的增加而增加。也就是說隨著過濾器運行時間的延長,過濾器積塵使阻力逐漸增大。人們習慣把過濾器沒有積塵時的阻力稱為初阻力,把需要更換時的阻力稱為終阻力。為保證系統的風量能保持在正常運行條件,一般取過濾器初阻力的兩倍作為終阻力,并按此選擇風機。
六、容塵量
在額定風量下,過濾器的阻力達到終阻力時,其所容納的塵粒總質量稱為該過濾器的容塵量。由于濾料的性質不同,粒子的組成、形狀、粒徑、密度、粘滯性及濃度的不同,因此過濾器的容塵量也有較大的變化范圍。
過濾器的容塵量是和使用期限有直接關系的指標。一般將運行中的過濾器終阻力達到初阻力的二倍或效率下降到初始效率的85%以下時(一般對于預過濾器來說)過濾器上沉積的灰塵重量,作為該過濾器的容塵量。(參考高效過濾器:http://www.yzshgd.com/)
七、過濾器的串聯效率
在空氣凈化系統中,為保證空氣的凈化效果,過濾器一般都串聯使用。其串聯后的總效率為:
η=1-(1-η1)(1-η2)…(1-ηn)
或:η=1-P1P2……Pn
同一過濾器采用不同的檢測方法其效率值是不同的,因此應特別注意,采用上述公式計算時,必須用同一種方法測定的各過濾器效率值。同時,應考慮經前級過濾后。由于進入次級過濾器的塵粒粒徑分布頻數的變化對次級過濾器效率的影響。
| 上一篇:公司介紹 | 下一篇:潔凈室和高效過濾器的密封技術分類... |