![]() |
空氣過濾器|高效過濾器專題 佰倫空氣過濾器已榮獲多項國家專利! |
服務熱線:181-0266-3890 |
前言: 最近大約是放假,因此私信我的人很多。基本上提出的都是和專業相關的問題,包括擇業,進修,出國和細致的專業問題。我沒有全部回復,而是挑選了部分問題做了簡短的回答。我的建議如下:對于擇業進修出國,甲方乙方等內容,我的三個講座基本能夠回答大家的問題。因此我建議你們先聽講座。如果你聽了之后,還有細節問題,請值乎去問我。最主要的是:不要問一些概括性的問題,值乎的問題請明確細節,大而化之的問題我沒有辦法針對性回答。從以前的值乎我回答的若干問題來看,有專業類問題,如針對變風量系統的一些說明,有行業性問題,如潔凈制藥行業的某一類設計問題,有讀研的具體學校選擇問題等等。這些都符合我的要求,明確且細致的問題。請大家提問的話也按照這種方法提問,則可以獲得有效而對癥的回答。

如下面的問題就不是一個好的問題:
"我馬上就要畢業了,不知道想讀研還是想工作"。這種問題就不是一個好問題。太廣泛。對此請去我的講座獲得結論。
在我的前兩篇文章中,我陸續發表了關于潔凈度測試和溫度測試中的小樣本正態分布95%置信區間計算方法和粒子計數器中的泊松分布的應用
制藥行業或者說潔凈行業本身就是一個小眾專業,從業人員本來就不多,并且水平參差不齊。就行業特點而言,制藥行業的工藝復雜,并且和HVAC的相關性非常大。這就導致了從業要求高,懂行的人又少。這就導致了中國的GMP行業遲遲無法快速發展,一直跟在歐盟和美國屁股后面。
連標準和規范都是照搬照抄它們的。比如2011年新頒布的GMP標準,就是基本全部抄襲歐盟的GMP標準。特別是其中的廠房和設施這一部分,更是如此。
1.凈化車間潔凈等級圖表如下
我們知道,一般的潔凈室等級是這樣的

工程中常見的粒子檢測項目為檢測0.5um和5um兩類粒子
我們從這個表格中發現ISO5對應著我們通常所說百級,ISO7對應著通常的萬級,而且我們常規的百級或者萬級的定義,都是針對0.5um這個級別的粒子的。
即每立方英尺空氣中,大于等于0.5um動力學直徑的粒子數量不超過100個就是百級,經過換算可得100粒/每立方英尺=3520粒/每立方米=3.52粒/升
同理,我們也可以獲得萬級的定義為大于等于0.5um動力學直徑的粒子數量不超過10000個就是萬級,經過換算,我們可以得到10000粒/每立方英尺=352000粒/每立方米=352粒/升
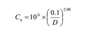
那么我們已經知道0.5um這個級別的粒子數量了,如何知道其他粒子的數量呢?
這里有一個公式來進行計算,如下:

大家可以自行按照此公式計算各種粒子的濃度
筆者注: N為ISO級別,D為某一種粒子的粒徑
以上為常見的粒子和潔凈度的相關性指標,為電子行業,制藥行業,生物研發實驗室等所采用
2.制藥行業的潔凈度等級
在1的基礎上,制藥行業的潔凈度等級又有了進一步的劃分,
首先增加了動態和靜態的區別
其次增加了對于菌落的檢測要求
如下圖

對比我們可以發現,制藥行業不僅僅關心靜態的參數,也關心生產時候的動態參數,包括各個級別的粒子濃度和微生物濃度。顯然這在正常潔凈等級的要求上,又有了新的要求。
并且對于不同的生產工藝,要求也是不同的。今天先不展開了,等到后面的文章再陸續介紹吧!
3、全球各國高效過濾器檢測標準
對于高效過濾器,不同的國家有不同的標準,這里我主要列出美國 歐盟和中國的標準給大家參考
中國標準-鈉焰法

美國標準--DOP法或者MPPS法

歐盟標準-MPPS法 EN1882

如果觀察的話,我們會發現由于采用了不同的方法,很難進行準確的比較,但是采用近似的比較還是可以的,比如中國的B級別等效于美國的C級別等效于歐盟的H14,由于現在國內主要采用歐盟的標準,因此我把美國標準和歐盟的標準的比較表格放置如下

經過比較我們發現
美標的A級別等效于歐標的H13
美標的C級別等效于歐標的H14
美標的D級別等效于歐標的U15
4.PM2.5和高效過濾器
現在因為霧霾的原因導致越來越多的家庭開始采購室內空氣凈化器
比如下面這個

不管它的說明書有多花哨,本質就是里面安裝了HEPA,一般而言,H13已經完全滿足要求了。
當然里面還會有一些初效濾網,活性炭過濾等
如果非常在意家中的空氣質量,是可以考慮買一個的!!!
參考書目
1. ISO14644 1-5
2. EN1822 1-5
3. IEST-RP-CC001.4
4. GB 13554-2008
凈化車間潔凈等級和高效過濾器檢測標準介紹原文鏈接:http://www.yzshgd.com/article/20180227181011.html
| 上一篇:公司介紹 | 下一篇:HEPA高效過濾器的通俗介紹(一篇看懂)... |